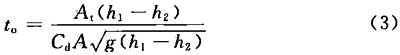
4.4 调蓄池 Ⅰ 主体设施 4.4.1 当源头调蓄工程中采用了水体调蓄、绿地广场调蓄等措施后,仍不能满足排水管渠和内涝防治设计标准时,可设置调蓄池,将超过径流量控制要求的径流或可利用的雨水暂时储存在调蓄池中。用于削减峰值流量的调蓄池为便于雨水重力流入,一般设计为地下封闭式,有条件设计为敞开式的调蓄池应与景观水体相结合,并符合相关规定。雨水综合利用系统中的调蓄池根据收集范围的不同,如水源为单体建筑的屋面雨水或小区、建筑群的雨水等,可设置于地上或地下,一般设计为封闭式,避免阳光直接照射,保持较低的水温和良好的水质,防止藻类生长和蚊蝇滋生。 管渠系统中的调蓄池,可设置在管渠系统的中部或末端。用于削减峰值流量的调蓄池一般设置在管渠系统的中部,将雨水径流的峰值流量暂时储存,待流量下降后,再排至下游管渠系统,可缓解下游管渠的排水压力,提高下游管渠系统的排水标准。用于控制径流污染的调蓄池一般设置在管渠系统的末端,暂时储存合流污水或初期雨水,削减排江溢流,缓解对受纳水体的污染,待降雨停止后,再将调蓄池中的合流污水或初期雨水输送到下游污水系统,或就地处理后排放至受纳水体。当泵站需要扩容而不具备实施条件时,也可通过设置调蓄池达到设计标准。管渠系统中的调蓄池一般位于城区,为便于管理、确保安全和减少对周边环境的影响,一般设计为地下式。 4.4.2 用于控制城镇径流污染的调蓄池,当汇水面积较小时,因汇水时间较短(指汇水时间为15min~20min时),通常排水系统出流的初期效应较大,可设置接收池,初期雨水储存在接收池中,而后续水量不再进入接收池,待降雨停止或下游污水管渠有空余时,将接收池内的水输送至泵站或污水处理厂;当汇水面积较大时,进水污染物浓度没有明显的初期效应,可设置通过池,在通过池中可以进行合流污水或初期雨水的沉淀净化,在通过池末端需设置溢流装置,通过池充满后,将沉淀后的合流污水或初期雨水溢流至水体,通过池在充满之前类似接收池,起储存作用,充满后起沉淀净化作用;当同时出现既有水量冲击负荷,又有明显的污染且持续较长时间时,应采用联合池,联合池是接收池和通过池的结合体,由一个接收部分和一个净化部分组成,合流污水或初期雨水首先进入一个按接收池建造的接收部分,充满之后,合流污水或初期雨水再进入按通过池建造的净化部分。 用于削减峰值流量和雨水综合利用的调蓄池一般采用接收池。其中,用于削减峰值流量的调蓄池通过设计出水量小于进水量,调蓄峰值流量,缓解下游排水系统的压力。 4.4.3 调蓄池和排水管渠的连接形式一般分为串联形式和并联形式。 串联形式的调蓄池,当进水量小于出口排水能力时,来水通过调蓄池直接排入下游;当进水量超过出口的最大出水量时,多余的来水储存在调蓄池内,直到调蓄池充满或进水量减少。为削减峰值流量,缓解下游排水系统的压力,串联形式调蓄池的出口尺寸一般小于入口尺寸。 并联形式的调蓄池,旱流污水或未超过下游系统排水能力的雨水从位于调蓄池外的旁通管道流过,在降雨过程中,管道内水位上升,当水位超过预先设定的深度时,经进水交汇井溢流堰或调蓄池进水控制设施流入调蓄池;当调蓄池充满后,根据调蓄池的不同类型,后续来水或继续进入调蓄池,并通过池内溢流设施排放至河道或下游管渠,或关闭调蓄池进水控制设施,后续来水通过溢流设施排放至河道或下游管渠。 4.4.4 为了保障调蓄池的正常运行,应设置格栅,还可采用沉砂等预处理设施。尤其是用于源头控制的地下雨水调蓄池,由于维护、检查和检修较为困难,预处理设施极为重要。 4.4.5 城镇雨水系统是由汇水街区、管渠、河道、泵站、检查井、雨水口、出水口、堰、孔口、调蓄设施和渗透设施等组成的一个结构复杂、规模庞大的工程。运行中的雨水系统,其状态随降雨量的变化而变化,很多参数和状态变量的不确定性使整个系统表现出强烈的动态性和随机性。到目前为止,数学模型法是展示雨水系统运行状态的有效方法。因此,规定在有条件区域调蓄池设计宜采用数学模型法,该方法能动态反映调蓄池的运行工况,有利于后期运行维护管理。 没有条件采用数学模型的地区,可根据不同的调蓄池功能和调蓄池类型,按公式计算。 接收池不具有沉淀净化功能,其主要作用是对雨水进行暂时储存,其容积可根据调蓄目的,按本规范第3.1节中相应的方法计算后确定。 通过池在未满时,主要是储存功能,充满后,池中的水通过溢流装置排放,具有沉淀净化功能,其原理和平流式沉淀池相同。由于调蓄池的进水水质和污水处理厂不完全相同,因此,应通过试验确定其颗粒沉降性能和表面水力负荷对去除效率的影响,按污染控制目标确定表面水力负荷和沉淀时间,通过计算确定通过池容积。在无试验条件和资料时,参考城镇污水处理厂初沉池的相关设计参数,提出通过池的表面水力负荷可为1.5m3/(m2·h)~3.0m3/(m2·h),沉淀时间可为0.5h~1.0h。处理效果还和出水堰负荷有关,由于调蓄池一般没有刮泥设备,因此处理效果会有一定影响。 4.4.6 调蓄池的水深直接影响工程的开挖深度,开挖深度大,施工费用和施工难度进一步加大;有效水深大,泵排的水量增加,运行能耗也随之增加。因此,在满足调蓄池有效容积且用地条件允许的情况下,应尽量减小调蓄池的有效水深。有效水深同时还受调蓄池类型和池型的影响,通过池和联合池因具有沉淀功能,有效水深不宜太深,否则影响沉淀效果;圆形池一般采用搅拌法避免污染物质的沉淀,有效水深也会影响搅拌的效果。 上海已建调蓄池中设计有效水深最小为2.8m,最大为18.45m;昆明已建调蓄池中设计有效水深最小为4.55m,最大为11.6m。 4.4.7 采用现浇钢筋混凝土结构的调蓄池,池型可采用矩形、多边形和圆形,应根据用地条件、调蓄容积和总平面布置确定。上海市内已建的11座雨水调蓄池,8座为矩形,2座为多边形(根据地形要求,由矩形削去部分面积而成为多边形),还有1座为圆形。 调蓄池的底部结构应根据冲洗方式确定,当采用门式冲洗或水力翻斗冲洗时,底部结构一般设计为廊道式;当采用自清冲洗方式时,底部结构应设计为连续沟槽,其沟槽一旦出现淤积,清洗难度非常大,因此应通过水力模型试验验证其沟槽、底坡、转弯处不淤积。 根据上海已建调蓄池实例,超高均大于0.5m,较高的超高多为与泵房合建的结构需要。 4.4.8 目前上海并联形式的调蓄池多采用旁通交汇井作为进水井,串联形式的调蓄池一般不设进水井,但应设置旁通或检修管,用于调蓄池检修时输送旱流污水。为便于调蓄池放空和清淤,进水宜设置闸门或阀门。闸门和阀门选用时,应选择在雨污水进水条件下,不易被杂质破坏密封性的闸门和阀门。为保障调蓄池的运行效益,保证及时进水,应考虑闸门和阀门的启闭时间,闸门的开启速度宜为0.2m/min~0.5m/min,其他阀门启闭时间应小于2min。进水的拦污装置可选用格栅等。 4.4.9 调蓄池放空可采用重力放空、水泵排空和两者相结合的方式。上海市苏州河环境综合整治工程中建设的江苏路调蓄池、成都路调蓄池和梦清园调蓄池等均采用重力放空和水泵排空相结合的方式,其中梦清园调蓄池25000m3有效容积中,重力放空部分的容积为18000m3,DN1400放空管的最大流量可达10.6m3/s,重力放空耗时约1h。 重力放空的优点是无需电力或机械驱动,符合节能环保政策,且控制简单。依靠重力排放的调蓄池,其出口流量随调蓄池上下游水位的变化而改变,出流过程线也随之改变。因此,确定调蓄池的容积时,应考虑出流过程线的变化。采用公式(4.4.9-2)时,还需事先确定调蓄池表面积At随水位h变化的关系。对于矩形或圆形调蓄设施等表面积不随水深发生变化的调蓄池,如不考虑调蓄池水深变化对出流流速的影响,调蓄池的出流可简化按恒定流计算,其放空时间可按下式估算: 公式(4.4.9-1)和(4.4.9-2)仅考虑了调蓄设施出口处的水头损失,没有考虑出流管道引起的沿程和局部水头损失,因此仅适用于调蓄池出水就近排放的情况。当排放口离调蓄池较远时,应根据管道直径、长度和阻力情况等因素计算出流速度,并通过积分计算放空时间。 水泵排空和重力放空相比,工程造价和运行维护费用较高。当采用水泵排空时,考虑到下游管渠和相关设施的受纳能力的变化、水泵能耗、水泵启闭次数等因素,设置排放效率η。当排放至受纳水体时,相关的影响因素较少,η可取较大值;当排放至下游污水管渠时,其实际受纳能力可能由于地区开发状况和系统运行方式的变化而改变,η宜取较小值。 4.4.10 采用水力固定堰进水方式或没有设置液位自动控制设施的调蓄池,为保障系统排水安全,避免上游壅水,应设置溢流设施。 Ⅱ 附属设施 4.4.13 敞开式调蓄池可采用人工冲洗的方式,但对于封闭式调蓄池,人工冲洗危险性大且劳动强度大,一般作为调蓄池冲洗的辅助手段。调蓄池的冲洗有多种方法,各有利弊。随着节能减排的政策要求,越来越多的环保型、节能型的冲洗设施和方法得到开发应用。各种冲洗方式的优缺点如表5所示。 表5 各种冲洗方式优缺点 上海已建11座调蓄池采用的冲洗方式如表6所示。 表6 上海已建调蓄池冲洗方式 4.4.14 本条文为强制性条文,必须严格执行。当采用封闭结构的调蓄池时,需要设置送排风设施,应合理设置透气井或排放口,以保持进出水期间池内气压平衡,保障进出水通畅和有毒有害气体的有组织排放。设计通风换气次数的确定应充分考虑调蓄目的、进出水量、有毒有害气体爆炸极限浓度等因素。 用于径流污染控制的调蓄池,收集和储存的是合流污水或初期雨水,池内产生有毒有害气体的风险较大;用于削减峰值流量的调蓄池,如该区域不存在雨污混接,收集和储存的雨水水质较好,则产生有毒有害气体的风险较低。 在分析池内可能产生的有毒有害气体浓度的基础上,送排风设施的设计应满足:在调蓄池进水和放空时,池内气压平衡;当调蓄池内储存有雨污水时或放空后,池内硫化氢(H2S)、甲烷(CH4)等有毒有害气体的浓度低于爆炸极限;人员进入前,池内硫化氢(H2S)、氨(NH3)等有毒有害气体的浓度不应对人员安全造成威胁。 美国用于合流制溢流污染控制的调蓄池设计中要求的设计通风次数是每小时6次~12次,我国目前用于径流污染控制的调蓄池的通风次数一般是每小时4次~6次。 4.4.15 采用地下封闭结构的调蓄池,一般会根据需要设置透气井或排气口,将进水时池内气体排至池外。当调蓄池进水时,透气井井口或排气口会有臭气排出,同时,室外季节风产生的空气扰动也会使臭气排出,会对周边环境造成不良影响。因此规定在其透气井井口或排气口处设置臭气收集和除臭设施,避免臭气散逸。 4.4.16 为减少调蓄池对附近活动人群的影响,规定调蓄池臭气经处理后达到相关标准后方可排放,排放标准应根据环评要求确定。 4.4.17 调蓄池的设计进水时间一般为0.5h~1.0h,调蓄池在进水过程中会排放相应体积的臭气,因此除臭设施处理量宜按每小时处理调蓄池容积1倍~2倍的臭气体积考虑;有特殊要求时,应结合通风系统的换气次数确定。 上海和昆明部分已建调蓄池除臭方式如表7所示,大多为离子法、植物提取液喷淋法等。日本调蓄设施的除臭多采用活性炭吸附,但活性炭需要定期更换,运行维护费用相对较高。 表7 上海、昆明部分已建调蓄池除臭方式 4.4.18 调蓄池与雨水泵站等设施合建情况较多,如果雨水泵站的电气系统设备被淹,会导致整个电气系统出现故障,调蓄池无法正常运行。为保障设施和人员安全,规定调蓄池的配电室、控制室和值班室宜设置在地上,并应防止被淹。 4.4.19 本条是关于调蓄池自动化控制系统的规定。 1 调蓄池是排水系统的一部分,运行管理部门一般考虑将调蓄池纳入相应的排水系统统一调度,因此调蓄池平时可不设值班人员,采用巡检方式。特别重要的调蓄池,可在运行时派人值班。 3 信息层的作用是实现数据的集中收集、处理和整理,应具有监测和监控、数据采集和处理、控制调节、运行管理、人机接口、数据上传等功能。大型调蓄池可设置信息层,便于操作人员进行监控。信息层设备设在调蓄池控制室,宜采用具有客户机/服务器(C/S)结构的计算机局域网,网络形式宜采用10/100/1000M工业以太网。 控制层的作用是完成现场设备的监测和控制命令的执行,应具有设备监控和监测、设备控制和联动控制等功能。控制层由一台或多台负责局部控制的可编程逻辑控制器(PLC)组成,相互间宜采用工业以太网或现场工业总线网络连接,以主/从、对等或混合结构的通信方式和信息层的监控工作站或主可编程逻辑控制器(PLC)连接。形式简单、设备数量少的调蓄池可设置远程测控终端(RTU)控制装置。 现场层是所有现场仪表和自动化设备的集合,实现各种数据的采集。应根据功能和规模大小选择相应的仪表和受控设备,一般包括:液位、流量、雨量、硫化氢(H2S)、水质参数、水泵、闸门、除臭装置等各种设备工况和泵站电气参数的检测等。 4 远程控制模式是由上级调度系统发布对调蓄池内主要设备的控制命令,包括泵站内的水泵、闸门等设备,泵站内各设备的联动由就地控制可编程逻辑控制器/远程测控终端(PLC/RTU)根据要求完成。 就地控制模式分就地手动和就地自动两种,这两种控制都应通过自动化控制系统可编程逻辑控制器/远程测控终端(PLC/RTU)控制器完成。 机侧控制模式是受控设备的现场(机旁)控制箱上设有本地/远方选择开关。当选择开关处于本地位置时,由现场(机旁)控制箱上的按钮进行控制,当选择开关处于远方位置时,由自动化控制系统可编程逻辑控制器/远程测控终端(PLC/RTU)控制器对设备进行控制。 4.4.20 本条是关于调蓄池检测仪表设置的规定。 1 流量测量分为泵排和流量计量设施测量两种,泵排测量精度较差,流量计量设施测量精度较高。在条件允许的情况下,宜采用流量计量设施测量。管径在10mm~3000mm之间的满管流量检测宜采用电磁流量计,当电磁流量计在安装和使用上有困难时,可以采用多普勒超声波流量计或明渠流量等其他流量计量设施。 2 集水池宜采用超声波液位计或液位差计,当设置超声波液位计有困难时,宜采用投入式静压液位计。 3 用于控制径流污染的调蓄池,在运行管理中,需要采集不同降雨条件下的进水水质,以评估调蓄池效益并优化运行方案,因此可设置自动采样器。 4 在雨水综合利用系统中的调蓄池宜设置水质监测仪表,以保障雨水综合利用系统的水质。 4.4.21 本条为强制性条文,必须严格执行。雨污水在密闭空间中储存一定时间后,易产生有毒有害气体,主要包括厌氧反应产生的硫化氢(H2S)气体、氨(NH3)气体、甲烷(CH4)气体等。因此,为确保安全,设计人员应根据调蓄的水质特点和调蓄池的空间设计特点,在分析调蓄池可能产生有毒有害气体区域的基础上,在易形成和聚集有毒有害气体的区域(如设置于室内的格栅间、池内、检修通道等),应设置固定式的有毒有害气体检测报警设备。由于调蓄池池内环境恶劣,容易造成固定式气体检测设备探头失效,因此,设计中应考虑在池顶等部位预留有毒有害气体监测孔,供运行维护人员定期监测有毒有害气体的浓度,防止有毒有害气体的浓度超过爆炸极限。 4.4.22 本条为强制性条文,必须严格执行。雨污水在密闭的输送管渠和调蓄池等厌氧环境下可能产生甲烷(CH4)、硫化氢(H2S)等可燃气体,储存雨污水的调蓄池的池体、接纳雨污水的格栅间和排放调蓄池内气体的透气井井口等场所均可能存在可燃气体,可燃气体发生爆炸需同时符合下列两个条件:一是可燃气体浓度达到爆炸极限;二是存在足以点燃可燃气体混合物的火花、电弧或高温。 因此在调蓄池内出现或可能出现可燃气体混合物的区域采取下列防止爆炸的措施,可将产生爆炸的条件同时出现的可能性减到最小: (1)采取电气防爆和其他措施,确保爆炸性气体混合物的区域内不产生或出现足以点燃可燃气体混合物的火花、电弧或高温。 (2)防止爆炸性气体混合物的形成或减小爆炸性气体混合物的浓度和滞留时间。如采用可靠有效的机械通风装置,确保爆炸性气体混合物的浓度在爆炸下限值以下。 (3)调蓄池的透气井设置在工作区域内,工作区域设置防火标志,以避免明火接触池内产生的可燃气体,造成爆炸。 4.4.23 工作人员会定期进入调蓄池,进行设备维护、检修或沉积物清除等工作。为改善工作环境,对检修通道进行规定。对于池深较浅,人员无法进入或可采用吊绳进入的小型调蓄池,可不设置人员检修通道。